近日,我院硕士研究生原浩瑜与导师吕候军教授课题组的关于限制黑洞带电量的研究工作以"Constraining the charge of a black hole with electromagnetic radiation from a black hole-neutron star system"为题发表在期刊《Physical Review D》上。
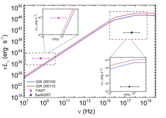
理论研究表明,黑洞-中子星并合能够产生可观测的电磁对应体。近期LIGO-Virgo-KAGRA (LVK)探测到了两个来自黑洞-中子星并合的引力波信号,分别是GW 200105和GW200115。随后,一些地面和空间望远镜对这两个事件进行了后随观测,得到了一些可能的光学和近红外波段的电磁对应体。在这项工作中,我们假设黑洞带电,并尝试通过对比观测得到的电磁对应体和带电黑洞-中子星在旋近阶段驱动的电磁辐射作去限制这两例引力波事件中黑洞的带电量。我们认为该系统在旋近阶段产生的电偶极和磁偶极辐射会驱动一个坡印廷能流主导的喷流,最后通过同步辐射产生可观测的电磁辐射。我们发现喷流中的能量转换成X射线波段辐射的效率远大于紫外、近红外、光学和射电波段(左图)。如果中子星的自转周期
ms且磁场强度
,那么GW 200105和GW200115事件中黑洞带电量和黑洞质量比值(或者说单位质量对应的电荷)的最大值分别为
和
。最后我们对比了该模型辐射的强度和FAST以及Swift/XRT的灵敏度,发现FAST无法被触发,而Swift/XRT可以被该模型对应的辐射触发(右图)。

左图:不同波段的能量转换效率(
)随喷流总光度(
)的演化;右图:FAST和Swift/XRT的灵敏度和模型对应的辐射光度比较。
论文作者:原浩瑜(硕士生),吕候军(通讯作者),Rice Jared,梁恩维。
论文链接:https://doi.org/10.1103/PhysRevD.108.083018